Появилась формула того, когда у детей в самолете случится истерика

от Мария Захарова
Опубликовано: 26 октября 2023, 12:43
Unsplash: Paul Hanaoka

Исследование.

Если и есть что-то, с чем все родители хорошо знакомы, воспитывая детей, так это истерики. Но когда вы оказываетесь в самолете с кричащим ребенком на руках или малышом, который плохо себя ведет, весь этот процесс воспринимается по-другому.

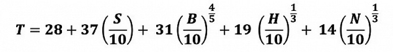
Ученый Том Кроуфорд из Оксфордского университета выявил математическую формулу перелета без истерик для родителей, путешествующих с маленькими детьми. Она позволяет рассчитать количество времени (T), в течение которого у ребенка ожидается истерика во время полета, чтобы отложить ее и не допустить чего-то подобного в воздухе. В ней учитываются наиболее известные способы управления вспышкой, позволяющие предотвратить истерику на время среднего ближнемагистрального перелета в Европу из Великобритании.

По мнению родителей капризных малышей, наиболее распространенными факторами, вызывающими истерику, являются сонливость (S), скука (B), голод (H) и шум (N). Каждый из них оценивается в баллах от нуля до десяти, причем ноль означает, что проблема игнорируется, а десять — что с ней успешно справляются.

Доктор Том Кроуфорд комментирует:

«Если устранить все четыре основные причины истерики, то есть набрать 10 баллов, то среднее время до истерики во время полета можно увеличить до 129 минут, что почти в пять раз больше, чем ожидаемое время до истерики без какого-либо вмешательства. Это означает, что родители смогут избежать вспышек на рейсах продолжительностью менее 129 минут, что охватывает многие ближнемагистральные рейсы в Европу».

Фото: ASDA

Также эксперт назвал конкретные шаги:

«Чтобы набрать десять баллов и эффективно устранить четыре основных триггера истерики, родителям необходимо обеспечить сон ребенка в течение 37 минут, чтобы победить сонливость, а также предотвратить скуку, рисуя, смотря фильмы или давая ребенку планшет или телефон, которые, как сообщается, развлекают его в течение 31 минуты. Кроме того, необходимо выделить 19 минут на перекусы, чтобы предотвратить чувство голода, и, наконец, исключить шум с помощью музыки или чтения, которые, как известно, отвлекают детей на 14 минут».


Фото: Unsplash
Источник: ASDA

Cookie Image Использование файлов cookie

Мы используем куки для улучшения работы сайта. Узнать больше